/images/name-logos.png
Upload Label Kategori Dokument Tentang Admin 🇮🇩 Indonesia
/images/name-logos.png
Batalkan
UploadLabelKategoriDokumentTentangAdmin
 | 
🇮🇩 Indonesia
/images/anmind-gvtr.gif

ANMIND

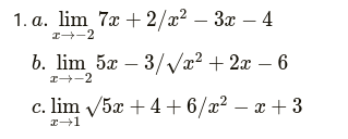
/limit-fungsi/image.png

Tentukan nilai limit berikut!

GUM diterbitkan pada 2024-01-20 termasuk dalam Matwajib kelas 11
Soal dan jawaban limit fungsi Matematika Wajib kelas 11 tentang limit
  • Limit
/aturan-huruf01/eyd-v-2-.png

Aturan Penulisan Nama Hari yang Benar Menurut EYD V

GUM diterbitkan pada 2025-04-13 termasuk dalam documentation
Postingan edisi belajar bahasa
  • EYD V
/limit-fungsi1/featured.png

Tentukan nilai limit fungsi aljabar rasional berikut!

GUM diterbitkan pada 2024-02-03 termasuk dalam Matwajib kelas 11

Limit fungsi aljabar

  • Limit
/aturan-kalimat01/bagian-1.png

Macam-Macam Bentuk Kalimat Bagian Satu

GUM diterbitkan pada 2025-04-13 termasuk dalam documentation
Postingan tentang bentuk kalimat, seperti kalimat langsung, tidak langsung, dan lain lain
  • Kebahasaan
  • Kalimat
  • 1
  • 2
  • 3
  • 4
  • 5
ANMIND SITE
2023 - 2025 xxxx | ANMIND